Journal of Applied Science and Engineering

Published by Tamkang University Press

1.30

Impact Factor

2.10

CiteScore

Xiaofei Li, Jiulong Lin, and Bo LiThis email address is being protected from spambots. You need JavaScript enabled to view it.

Intelligent Construction College, Shandong University of Aeronautics, Binzhou256600, China


 

Received: June 9, 2025
Accepted: October 16, 2025
Publication Date: January 22, 2026

 Copyright The Author(s). This is an open access article distributed under the terms of the Creative Commons Attribution License (CC BY 4.0), which permits unrestricted use, distribution, and reproduction in any medium, provided the original author and source are cited.


Download Citation: ||https://doi.org/10.6180/jase.202607_30.038  


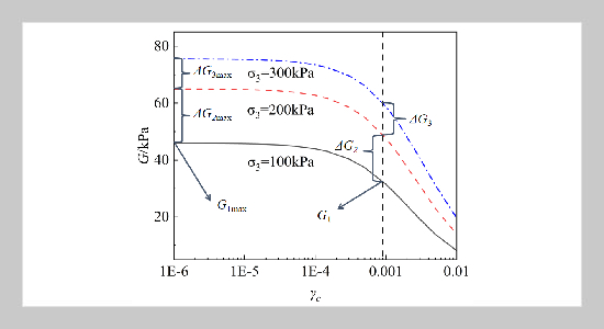
To study the dynamic deformation characteristics of unsaturated silt in the Yellow River Delta, undrained cyclic loading tests were carried out on silt in the Yellow River Delta using the KTL dynamic triaxial apparatus. The effects of effective confining pressure σ3, consolidation ratio kc, and relative density Dr on the dynamic shear modulus ratio of unsaturated silt were analyzed. The results show that under the same dynamic shear strain, the dynamic shear modulus G of silt increases with the increase of effective confining pressure σ3, consolidation ratio kc, and relative density Dr. The influence of confining pressure on the maximum dynamic shear modulus can be described by both linear and nonlinear models, along with the parameter values of these models under different consolidation ratios. The H-D hyperbolic model was used to analyze the G/Gmax of the pulverized soil by regression analysis. Results show that the H-D hyperbolic model can well describe the relationship between G/Gmax and γc of unsaturated silt soil in the Yellow River Delta. A preliminary exploration of their developmental patterns was conducted.


Keywords: Yellow River Delta silt; dynamic shear modulus ratio; maximum dynamic shear modulus; dynamic triaxial test


  1. [1] Y. Li, p. Li, and s. Zhu, (2022) “The study on dynamic shear modulus and damping ratio of marine soils based on dynamic triaxial test" Marine Georesources Geotechnology 40: 473–486. DOI: 10.1080/1064119X.2021.1908463.
  2. [2] F. Peng, M. Li, Y. Li, and M. Huang, (2024) “Dynamic modulus and damping ratio characteristics of unsaturated silt in the Yellow River flood field" Journal of Central South University 31: 237–249. DOI: 10.1007/S11771 023-5455-9.
  3. [3] X. Yuan, R. Sun, J. Sun, S. Meng, and Z. Shi, “Lab oratory experimental study on dynamic shear modulus ratio and damping ratio of soils" Earthquake Engineering and Engineering Vibration 20: 133–139. DOI: 10.13197/j.eeev.2000.04.020.
  4. [4] Q. Wu, Z. Wang, C. Wang, K. Cheng, and G. Chen, (2023) “Experimental study on dynamic shear modulus and damping ratio of Yangtze River floodplain soft soil" China Civil Engineering Journal 56: 125–135+145. DOI: 10.15951/j.tmgcxb.22050447.
  5. [5] G. Chen, Y. Han, and K. Liang, (2023) “Dynamic shear modulus and damping ratio characteristics of clayey and silt soils in Xuzhou urban area" Rock and Soil Mechanics 44: 163–172. DOI: 10.16285/j.rsm.2022.0124.
  6. [6] Z. Zhou, Z. Ding, J. Liu, K. Zhao, K. Liang, and Q. Lu, (2022) “Experimental study on dynamic shear modulus and damping ratio characteristics of saturated silt in South China Sea" China Civil Engineering Journal 55: 227 233. DOI: 10.15951/j.tmgcxb.2022.s1.0109.
  7. [7] J. Sun and X. Yuan, (2010) “Effect of consolidation ratio of cohesive soils on dynamic shear modulus" Rock and Soil Mechanics 31: 1457–1462+1468. DOI: 10.16285/j.rsm.2010.05.050.
  8. [8] J. Wang, J. Hu, Y. Yang, B. Zhou, and S. Ren, (2024) “Dynamic characteristics of silt under graded cyclic loading" Journal of Water Resources and Architectural Engineering 22: 166–171. DOI: 10.3969/j.issn.1672-1144.2024.06.024.
  9. [9] Y. Wang, J. Li, J. Shao, and X. Yu, (2023) “Experimental investigation and theoretical models on dynamic shear moduli and damping ratios for Yellow River sediment under different influence factors" Chinese Journal of Engineering Science 45: 509–519. DOI: 10.13374/j.issn2095-9389.2022.05.20.001.
  10. [10] E. Zhou, Y. Bai, Y. Yao, L. Wang, and J. Lu, (2024) “Experimental study on small-strain shear modulus of rubber clay mixtures" Rock and Soil Mechanics 45: 705–713. DOI: 10.16285/j.rsm.2023.0423.
  11. [11] J. Liu, X. Cai, H. Song, and X. Zheng, (2025) “Study on the effect of fines content on the dynamic properties of tailing sands" China Mine Engineering 54: 50–55. DOI: 10.19607/j.cnki.cn11-5068/tf.2025.01.010.
  12. [12] L. Chen, W. Ji, X. Tao, R. Li, H. Wang, and H. Zhu, (2025) “Study on dynamic shear modulus and damping characteristics of marine soil in Dafeng Sea area, South Yellow Sea" Journal of Forestry Engineering 10: 156 164. DOI: 10.13360/j.issn.2096-1359.202406035.
  13. [13] C. Chi, C. Zheng, S. Tan, X. Dong, Z. Zhang, and J. Zhou, (2023) “Experimental and modeling studies on the factors influencing the small-strain shear modulus of soft clay soils" Building Structure 53: 3025–3029. DOI: 10.19701/j.jzjg.23S1523.
  14. [14] K. Liang, Y. He, and G. Chen, (2020) “Experimental study of dynamic shear modulus and damping ratio characteristics of coral sand from Nansha islands" Rock and Soil Mechanics 41: 23–31+38. DOI: 10.16285/j.rsm.2018.2359.
  15. [15] T. Guo, (2016) “Testing study of effects of consolidation ratio of soils on dynamic characteristics" Progress in Geophysics 31: 2729–2734. DOI: 10.6038/pg20160650.


    



 

2.1
2023CiteScore
 
 
69th percentile
Powered by  Scopus

SCImago Journal & Country Rank

Enter your name and email below to receive latest published articles in Journal of Applied Science and Engineering.